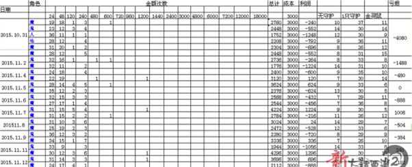
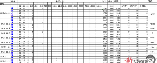
大话西游2惊悚真相 一张图告诉你刮刮乐为什么总输
|
一位玩家今日刮刮乐输得挺惨,痛定思痛做了一张总结的图表,来告诉您刮刮乐是不会赚的...不知大家看完后会否认同他的说法呢? 话说真是有非常多人沉迷此道,像下面这样五开的,像是每天都会遇到该死的老鼠的,但就是无法从中跳出来,只把他当做娱乐就好,先来看看这些悲惨的时刻:
从大数据可以看出,久赌是一定输的,一定输,一定输,一定输!重要的事说三次! 没有技巧没有规律可言,每天只适合刮一刮娱乐,若是真想靠着赌博发财,还是劝各位早日收手吧! <<<点击进入大话西游2论坛讨论>>> [编辑:韦小贝]
|
本资讯及文章仅代表发表厂商及作者观点,不代表叶子猪本身观点!














